پودر سدیم سولفوبوتیل اتر بتا سیکلودکسترین
IMG
VIDEO

پودر سدیم سولفوبوتیل اتر بتا سیکلودکسترین

پودر سدیم سولفوبوتیل اتر بتا سیکلودکسترین
شماره CAS: 182410-00-0
شکل ظاهری: پودر آمورف سفید تا مایل به سفید
درجه: درجه تزریقی / ماده جانبی دارویی
سنجش: ≥ 99.0٪ (بر اساس بی آب)
حلالیت: آزادانه در آب حل می شود
اندوتوکسین های باکتریایی: ≤ 10 EU/g
استاندارد اجرایی: USP / EP / ChP

ارسال استعلام

توضیحات محصول


پودر سدیم سولفوبوتیل اتر بتا سیکلودکسترین چیست؟


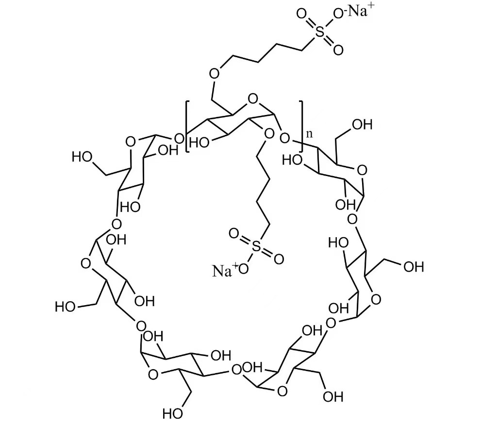
پودر سدیم سولفوبوتیل اتر بتا سیکلودکسترین یک مشتق بسیار محلول در آب و آنیونی بتا سیکلودکسترین است که به عنوان یک مکمل دارویی استفاده می شود. این ماده با اصلاح شیمیایی بتا سیکلودکسترین با گروه‌های سولفوبوتیل اتر در شرایط قلیایی کنترل‌شده تولید می‌شود و در نتیجه نمک سدیمی با خواص انحلال‌کنندگی عالی ایجاد می‌شود.

این ماده کمکی با درجه تزریقی برای تشکیل کمپلکس‌های گنجاندنی غیرکووالانسی پایدار با ترکیبات دارویی فعال ضعیف (API) طراحی شده است. با کپسوله کردن مولکول های دارو، پودر سدیم سولفوبوتیل بتای سیکلودکسترین به طور قابل توجهی حلالیت، پایداری و فراهمی زیستی دارو را بهبود می بخشد و در عین حال تحریک موضعی، همولیز و سمیت کلیوی را کاهش می دهد.

با توجه به مشخصات ایمنی بالا و توانایی کمپلکس سازی قوی، پودر سدیم سولفوبوتیل بتای سیکلودکسترین به طور گسترده در فرمولاسیون های دارویی تزریقی، به ویژه برای داروهای ضد قارچ، ضد ویروسی، انکولوژی و داروهای تزریقی قلبی عروقی استفاده می شود. این استاندارد با استانداردهای اصلی دارویی مانند USP و EP مطابقت دارد و برای کاربردهای دارویی بالینی و تجاری مناسب است.


مشخصات پودر سدیم سولفوبوتیل اتر بتا سیکلودکسترین


محصول naمن
سولفوبوتیل اتر بتا سیکلودکسترین سدیم
شماره CAS
182410-00-0
ظاهر پودر سفید یا تقریباً سفید، رطوبت سنجی.
استاندارد اجرایی USP / EP / ChP
بسته بندی 500 گرم در کیسه؛ 1 کیلوگرم / کیسه؛ 10 کیلوگرم / کیسه؛ 10 کیلوگرم / درام
مترادف ها SBE-β-CD; سولفوبوتیل اتر بتا سیکلودکسترین؛ بتادکس سولفوبوتیل اتر سدیم
سنجش ≥99%
اندوتوکسین های باکتریایی
≤10EU/g
MOQ 1 کیلوگرم


سولفوبوتیل اتر بتا سیکلودکسترین سدیم پودر COA


کاربرد و فواید سولفوبوتیل اتر بتا سیکلودکسترین (SBECD) چیست؟

1. موارد استفاده از سولفوبوتیل اتر بتا سیکلودکسترین (SBECD)

سولفوبوتیل اتر بتا سیکلودکسترین (SBECD) عمدتاً به عنوان یک مکمل دارویی استفاده می شود، به ویژه در:


  • فرمولاسیون دارویی تزریقی (تزریقی).
  • آماده سازی چشمی (چشمی).
  • سیستم های دارورسانی بینی و ریوی
  • فرمولاسیون APIهای ضعیف محلول در آب، مانند داروهای ضد قارچ، ضد ویروسی، ضد سرطان و قلبی عروقی


2. مزایای سولفوبوتیل اتر بتا سیکلودکسترین (SBECD)


  • به طور قابل توجهی حلالیت در آب داروهای کم محلول را بهبود می بخشد
  • پایداری دارو را با تشکیل کمپلکس های انکلوژن غیر کووالانسی افزایش می دهد
  • ایمنی دارو را به ویژه برای فرمولاسیون های تزریقی بهبود می بخشد
  • سمیت کلیوی را در مقایسه با برخی از حل کننده های سنتی کاهش می دهد
  • همولیز و تحریک محل تزریق را به حداقل می رساند
  • سرعت انتشار دارو را کنترل می کند و عملکرد درمانی را بهبود می بخشد
  • بو یا طعم نامطبوع API ها را پوشانده است
  • حلالیت آبی بالا و سمیت کم، مناسب برای استفاده تزریقی

چرا ما را انتخاب کنید؟


بیش از 20 سال سابقه تولید

با بیش از دو دهه تجربه اختصاصی در تولید سیکلودکسترین و مشتقات سیکلودکسترین، شرکت صنایع بیوشیمیایی شیان دلی، با مسئولیت محدود، شهرت خوبی برای کیفیت محصول، ثبات فرآیند و عرضه قابل اعتماد ایجاد کرده است.


ظرفیت تولید در مقیاس بزرگ و پایدار

ما خطوط تولید در مقیاس صنعتی را با ظرفیت سالانه 500 تن هیدروکسی پروپیل بتادکس و 200 تن بتادکس سولفوبوتیل اتر سدیم راه‌اندازی می‌کنیم که تامین پایدار برای کاربردهای تجاری و بالینی طولانی مدت را تضمین می‌کند.


تضمین کیفیت داروسازی

محصولات ما تحت یک سیستم مدیریت کیفیت دقیق، با یک منطقه تمیز اختصاصی کلاس D که مطابق با الزامات تولید دارویی طراحی شده است، تولید می شوند. آزمایش جامع محصول نهایی در حین فرآیند و محصول نهایی، سازگاری عالی دسته به دسته را تضمین می کند.


قابلیت های تحلیلی و آزمایشی پیشرفته

آزمایشگاه ما با تجهیز به ابزارهای تحلیلی مدرن مانند HPLC، GC، IC، الکتروفورز مویرگی، FTIR و تست‌های پشتیبانی شده با NMR، می‌تواند نیازهای دارویی USP، EP و ChP را برآورده کند و از توسعه فرمولاسیون و انطباق با مقررات پشتیبانی کند.


پشتیبانی نظارتی و تجربه بازار جهانی

محصولات کلیدی ما، از جمله هیدروکسی پروپیل بتادکس و بتادکس سولفوبوتیل اتر سدیم، در سازمان غذا و دارو ثبت و ثبت شده اند که تجربه ما را در حمایت از مشتریان برای بازارهای دارویی جهانی نشان می دهد.


پشتیبانی فنی مشتری مدار

ما پشتیبانی فنی حرفه‌ای، کمک اسناد و راهنمایی‌های مربوط به فرمول‌بندی را ارائه می‌کنیم و از توسعه اولیه تا عرضه تجاری بلندمدت با مشتریان همکاری نزدیک داریم.


صلاحیت شرکت

گواهینامه های Xi’an Deli Biochemical Industry Co., Ltd.

در طول سال ها، شرکت صنایع بیوشیمیایی شیان دلی، به طور مداوم متعهد به بهینه سازی فرآیند تولید و ایجاد یک سیستم مدیریت کیفیت جامع برای سیکلودکسترین ها و مشتقات آنها بوده است.


سوالات متداول

1. آیا شما یک تولید کننده یا یک شرکت تجاری هستید؟

ما یک تولید کننده حرفه ای و متخصص در سیکلودکسترین و مشتقات سیکلودکسترین هستیم. همه محصولات در مرکز تولید خود ما در شیان، چین تولید می شوند.


2. محصولات اصلی شما چیست؟

محصولات اصلی ما هیدروکسی پروپیل بتادکس (HPBCD) و بتادکس سولفوبوتیل اتر سدیم (SBECD) هستند که به طور گسترده به عنوان مکمل های دارویی، به ویژه در فرمولاسیون های تزریقی و خوراکی استفاده می شوند.


3. آیا محصولات شما مطابق با استانداردهای دارویی هستند؟

بله. محصولات ما با الزامات USP، EP و فارماکوپه چین مطابقت دارند. گواهی کامل تجزیه و تحلیل (COA) با هر دسته ارائه می شود.


4. آیا مواد با درجه تزریقی عرضه می کنید؟

بله. ما مشتقات سیکلودکسترین با درجه تزریقی را با کنترل دقیق ناخالصی ها، اندوتوکسین ها و قوام دسته به دسته تخصص داریم.


5. ظرفیت تولید شما چقدر است؟

هیدروکسی پروپیل بتادکس: 500 تن متریک در سال

بتادکس سولفوبوتیل اتر سدیم: 200 تن متریک در سال


6. آیا نمونه هایی را برای ارزیابی ارائه می دهید؟

بله. نمونه های رایگان در صورت درخواست برای توسعه فرمولاسیون و آزمایش در دسترس هستند.


7. آیا می توانید از عرضه تجاری بلند مدت حمایت کنید؟

بله. با خطوط تولید در مقیاس بزرگ و سیستم های کیفیت پایدار، ما از عرضه طولانی مدت و تجاری در مقیاس برای مشتریان دارویی جهانی پشتیبانی می کنیم.


8. از چه سیستم های کیفیتی پیروی می کنید؟

ما تحت استاندارد ISO 9001:2015، با پشتیبانی تجهیزات تحلیلی پیشرفته و یک آزمایشگاه کنترل کیفیت اختصاصی برای اطمینان از سازگاری و انطباق محصول، کار می کنیم.



تگ های داغ: سولفوبوتیل اتر بتا سیکلودکسترین پودر سدیم، تولید کنندگان، تامین کنندگان، چین، کارخانه، عمده، نمونه رایگان، ساخت چین، موجود در انبار، عمده فروشی، خرید

دسته بندی مرتبط

ارسال استعلام

لطفاً درخواست خود را در فرم زیر ارائه دهید. ما ظرف 24 ساعت به شما پاسخ خواهیم داد.
icon
X
ما از کوکی ها استفاده می کنیم تا تجربه مرور بهتری به شما ارائه دهیم، ترافیک سایت را تجزیه و تحلیل کنیم و محتوا را شخصی سازی کنیم. با استفاده از این سایت، شما با استفاده ما از کوکی ها موافقت می کنید. سیاست حفظ حریم خصوصی
رد کردن قبول کنید