X
IMG
VIDEO

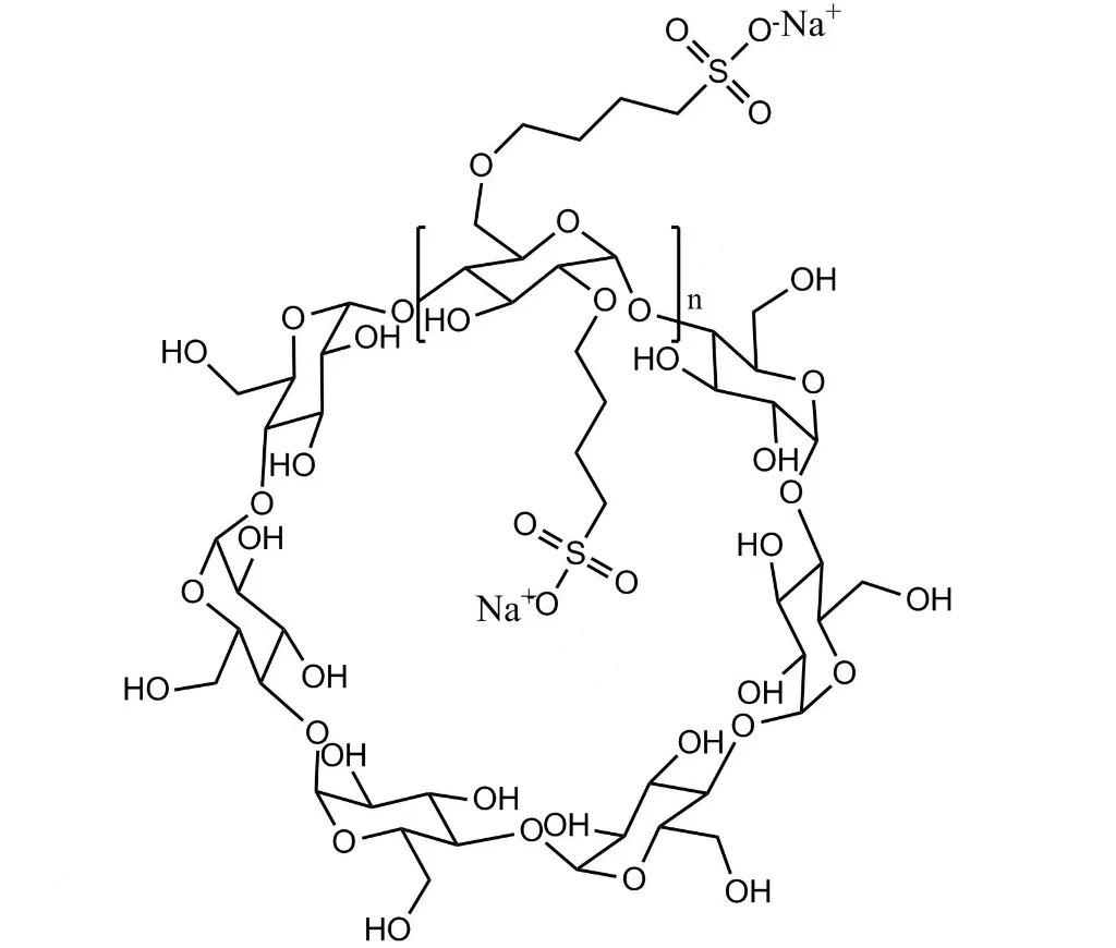
مکمل دارویی تزریقی SBE-β-CD سولفوبوتیل اتر بتا سیکلودکسترین سدیم

عمده فروشی SBE-β-CD سولفوبوتیل اتر بتا سیکلودکسترین سدیم تزریقی مکمل دارویی ساخت چین از DELI. SBE-β-CD (Sulfobutylether Beta Cyclodextrin Sodium) یک مکمل دارویی تزریقی بسیار محلول در آب است که برای افزایش حلالیت، پایداری و ایمنی APIهای کم محلول از طریق تشکیل کمپلکس انکلوژن برگشت پذیر استفاده می شود.

ارسال استعلام

توضیحات محصول


مکمل دارویی تزریقی SBE-β-CD سولفوبوتیل اتر بتا سیکلودکسترین سدیم

SBE-β-CD (Sulfobutylether Beta Cyclodextrin Sodium) یک مشتق آنیونی بتا سیکلودکسترین آنیونی محلول در آب است که برای کاربردهای دارویی تزریقی طراحی شده است. این کمپلکس‌های گنجاندن پایدار و غیرکووالانسی را با ترکیبات دارویی فعال (API) تشکیل می‌دهد که حلالیت، پایداری و ایمنی داروهای کم محلول در آب را به طور قابل توجهی بهبود می‌بخشد.

به دلیل زیست سازگاری عالی، فعالیت همولیتیک کم و مشخصات سمیت کنترل شده، SBE-β-CD به طور گسترده در سیستم های دارورسانی تزریقی در مناطق مختلف درمانی استفاده می شود.


مزایای کلیدی


SBE-β-CD حلالیت آبی APIهای آبگریز را در حالی که ایمنی فرمولاسیون را حفظ می کند، افزایش می دهد. در مقایسه با عوامل حل‌کننده سنتی، سمیت کلیوی کاهش یافته و تحریک کمتری در محل‌های تزریق نشان می‌دهد که آن را برای تجویز مکرر تزریقی مناسب می‌سازد.


کاربردهای دارویی


SBE-β-CD در درجه اول در فرمولاسیون های تزریقی و استریل، از جمله اشکال دوز داخل وریدی، داخل عضلانی و زیر جلدی استفاده می شود. معمولاً در محصولات دارویی ضد ویروسی، ضد قارچی، سرطان‌شناسی و قلبی عروقی استفاده می‌شود، جایی که حلالیت بالا و ثبات فرمولاسیون ضروری است.


مشخصات محصول


نام شیمیایی سولفوبوتیل اتر بتا سیکلودکسترین سدیم
شماره CAS 182410-00-0
ظاهر پودر آمورف سفید تا مایل به سفید
درجه مکمل دارویی تزریقی
حلالیت آزادانه در آب حل می شود
سنجش 95.0٪ - 105.0٪ (بر اساس بی آب)
میانگین درجه جایگزینی (DS) 6.2 - 6.9
اندوتوکسین های باکتریایی ≤ 10 EU/g
استانداردها USP / EP
ماندگاری 36 ماه


مشخصات بسته بندی


گزینه های بسته بندی موجود عبارتند از 500 گرم / کیسه، 1 کیلوگرم / کیسه، 10 کیلوگرم / کیسه و 10 کیلوگرم / درام. بسته بندی سفارشی در صورت درخواست برای عرضه تجاری در دسترس است.


تضمین کیفیت


تمام دسته های SBE-β-CD تحت یک سیستم مدیریت کیفیت دقیق تولید می شوند و تحت آزمایش های تحلیلی جامع قرار می گیرند. پارامترهای کیفیت کلیدی مانند ناخالصی ها، اندوتوکسین ها، درجه جایگزینی و قوام دسته به دسته به شدت کنترل می شوند.

هر محموله با یک گواهی تحلیل (COA) همراه است تا از قابلیت ردیابی کامل و انطباق با مقررات اطمینان حاصل شود.


مدارک و گواهینامه های شرکت


Xi'an Deli Biochemical Industry Co., Ltd. یک شرکت با فناوری پیشرفته است که در تحقیق، توسعه و ساخت سیکلودکسترین ها و مشتقات آنها تخصص دارد. این شرکت که در سال 1999 تأسیس شد، بیش از 26 سال تجربه در صنعت دارد.

این شرکت خطوط اختصاصی تولید مکمل های دارویی را با مناطق تولید تمیز کنترل شده اجرا می کند. سیستم مدیریت کیفیت آن گواهینامه ISO 9001 را گذرانده است و محصولات اصلی در مراجع نظارتی مربوطه از جمله FDA ثبت یا ثبت می شوند.


قابلیت تولید


Xi'an Deli Biochemical ظرفیت تولید تجاری در مقیاس بزرگ را برای SBE-β-CD ایجاد کرده است و از عرضه طولانی مدت قابل اعتماد برای مشتریان دارویی جهانی اطمینان حاصل می کند.

ظرفیت تولید سالانه بیش از 200 تن متریک، با اندازه دسته ای معمولی تقریباً 2.5 متریک تن است.


سوالات متداول

Q1: عملکرد اصلی SBE-β-CD در فرمولاسیون های تزریقی چیست؟
A: SBE-β-CD در درجه اول به عنوان یک حل کننده و تثبیت کننده عمل می کند و حلالیت آبی و ایمنی API های ضعیف محلول در آب را از طریق تشکیل کمپلکس انکلوزیون برگشت پذیر بهبود می بخشد.


Q2: آیا SBE-β-CD برای تجویز مکرر داخل وریدی مناسب است؟
ج: بله. SBE-β-CD فعالیت همولیتیک کم و کاهش سمیت کلیوی را در مقایسه با عوامل حل کننده سنتی نشان می دهد که آن را برای استفاده مکرر تزریقی مناسب می کند.


Q3: آیا محصول شما با استانداردهای دارویی مطابقت دارد؟
A: SBE-β-CD ما با الزامات USP و EP مطابقت دارد و تحت یک سیستم مدیریت کیفیت تایید شده تولید می شود.


Q4: آیا می توان اسناد فنی ارائه کرد؟
ج: بله. COA، مشخصات، و داده های فنی در صورت درخواست در دسترس هستند.



تگ های داغ: مکمل دارویی تزریقی SBE-β-CD سولفوبوتیل اتر بتا سیکلودکسترین سدیم، تولید کنندگان، تامین کنندگان، چین، کارخانه، فله، نمونه رایگان، ساخت چین، موجودی، عمده فروشی، خرید

دسته بندی مرتبط

ارسال استعلام

لطفاً درخواست خود را در فرم زیر ارائه دهید. ما ظرف 24 ساعت به شما پاسخ خواهیم داد.
icon
X
ما از کوکی ها استفاده می کنیم تا تجربه مرور بهتری به شما ارائه دهیم، ترافیک سایت را تجزیه و تحلیل کنیم و محتوا را شخصی سازی کنیم. با استفاده از این سایت، شما با استفاده ما از کوکی ها موافقت می کنید. سیاست حفظ حریم خصوصی
رد کردن قبول کنید