اخبار صنعت

راه حل های مبتنی بر سیکلودکسترین برای افزایش حلالیت و پایداری

2025-12-23 - برای من پیام بگذارید

راه حل های مبتنی بر سیکلودکسترین برای افزایش حلالیت و پایداری

بررسی اجمالی فنی هیدروکسی پروپیل بتادکس و بتادکس سولفوبوتیل اتر سدیم

سیکلودکسترین ها به دلیل توانایی آنها در بهبود حلالیت و پایداری ترکیبات کم محلول یا حساس به شیمیایی شناخته شده هستند. سیکلودکسترین ها و مشتقات آنها به دلیل ساختار مولکولی حلقوی منحصر به فرد خود به مواد کمکی کاربردی مهمی در زمینه های دارویی، شیمیایی و فرمولاسیون مرتبط تبدیل شده اند. در پاسخ به افزایش الزامات فنی و نظارتی، Xi'an Deli Biochemical اسناد فنی و پشتیبانی محصول را برای مشتقات کلیدی سیکلودکسترین خود اصلاح کرده است:هیدروکسی پروپیل بتادکس (HPBCD) و بتادکس سولفوبوتیل اتر سدیم (SBECD).


ویژگی های ساختاری و عملکرد عملکرد سیکلودکسترین ها

سیکلودکسترین ها اولیگوساکاریدهای حلقوی هستند که از واحدهای گلوکز به هم پیوسته با پیوندهای گلیکوزیدی α-1،4 تشکیل شده اند. معماری مولکولی آن‌ها دارای یک سطح بیرونی آبدوست و یک حفره داخلی نسبتاً آبگریز است که امکان تشکیل مجتمع‌های گنجاندن با طیف وسیعی از مولکول‌های مهمان را فراهم می‌کند. اصلاح شیمیایی ساختار سیکلودکسترین می تواند به طور قابل توجهی حلالیت در آب را افزایش دهد و تطبیق پذیری کاربرد را گسترش دهد.


هیدروکسی پروپیل بتادکس (HPBCD)


هیدروکسی پروپیل بتادکس یک بتا سیکلودکسترین اصلاح شده شیمیایی است که برای غلبه بر حلالیت محدود سیکلودکسترین های بومی طراحی شده است. حلالیت بهبود یافته در آب و سازگاری مطلوب آن، HPBCD را برای کاربردهایی که نیاز به انحلال، تثبیت و انعطاف پذیری فرمولاسیون موثر در سیستم های مختلف دارند، مناسب می کند.


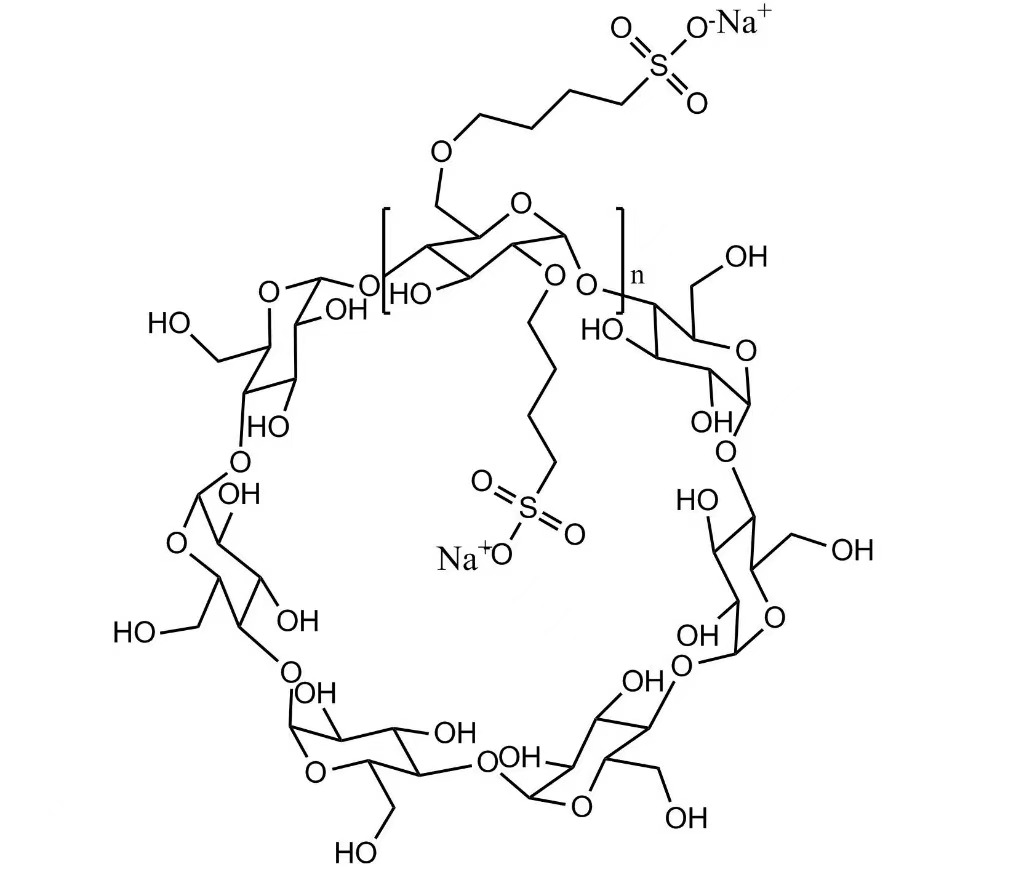
بتادکس سولفوبوتیل اتر سدیم (SBECD)


بتادکس سولفوبوتیل اتر سدیم یک مشتق آنیونی سیکلودکسترین است که با جایگزین های سولفوبوتیل اتر مشخص می شود. این ساختار برهمکنش های الکترواستاتیکی با ترکیبات خاص را افزایش می دهد و از حلالیت بهبود یافته، پایداری پیچیده و استحکام فرمول در کاربردهای بیشتر حمایت می کند.

اطلاعات محصول استاندارد و پشتیبانی فنی

Xi’an Deli Biochemical برای پشتیبانی بهتر از توسعه فرمولاسیون، ارزیابی کیفیت و فرآیندهای تدارکات، اطلاعات محصول را برای HPBCD و SBECD به‌روزرسانی کرده است، از جمله:


  • مشخصات محصول و پارامترهای تحلیلی به وضوح تعریف شده و استاندارد شده است
  • گواهینامه های تجزیه و تحلیل دسته ای خاص (COA) برای اطمینان از قابلیت ردیابی و تأیید کیفیت
  • سؤالات متداول فنی گسترده در مورد رسیدگی، ذخیره سازی، و ملاحظات برنامه معمولی
  • خلاصه های محصول بهینه شده برای تسهیل بررسی فنی و انتخاب کارآمد طراحی شده است


هدف از این پیشرفت‌ها افزایش شفافیت، کاهش زمان‌بندی ارزیابی و پشتیبانی از عملکرد ثابت محصول در طول چرخه عرضه است.


تجربه تولید و تضمین کیفیت

Xi'an Deli Biochemical که در سال 1999 تأسیس شد، 26 سال تجربه در تولید مشتقات سیکلودکسترین به ارمغان می آورد. تمرکز این شرکت بر تولید کنترل شده هیدروکسی پروپیل بتادکس و بتادکس سولفوبوتیل اتر سدیم، با تاکید بر ثبات فرآیند، قابلیت اطمینان دسته به دسته و ثبات عرضه طولانی مدت است. شیوه های مدیریت کیفیت ساختاریافته از الزامات فنی، نظارتی و منبع یابی مشتریان پشتیبانی می کند.


دامنه کاربرد و همکاری فنی

بر اساس مکانیسم‌های گنجاندن و تثبیت سیکلودکسترین، HPBCD و SBECD در زمینه‌های فنی متعدد، از جمله فرمول‌های مرتبط با داروسازی، مواد شیمیایی ویژه، محصولات دامپزشکی و سایر سیستم‌هایی که به حلالیت و پایداری بیشتر نیاز دارند، قابل استفاده هستند. Xi'an Deli Biochemical به تعامل با شرکا از طریق ارتباطات مبتنی بر برنامه و همکاری فنی برای حمایت از نیازهای فرمولاسیون در حال تکامل ادامه می دهد.


درباره شرکت های صنایع بیوشیمیایی شیان دلی

شرکت‌های صنعت بیوشیمیایی شیان دلی که در سال 1999 تأسیس شد، یک تولیدکننده تخصصی مشتقات سیکلودکسترین است که هیدروکسی پروپیل بتادکس (HPBCD) و بتادکس سولفوبوتیل اتر سدیم (SBECD) را به مشتریان جهانی عرضه می‌کند. با تمرکز طولانی مدت بر ثبات محصول، مشخصات واضح و پشتیبانی فنی عملی، این شرکت همچنان متعهد به ارائه راه حل های قابل اعتماد مبتنی بر سیکلودکسترین است.


در صورت تمایل من نیز می توانم:


  • بهینه سازی بیشتر برای سئو گوگل (بدون کاهش لحن فنی)
  • آن را در یک نسخه «به‌روزرسانی فنی» در صفحه محصول فشرده کنید
  • آن را برای مشتریان نظارتی / متمرکز بر کیفیت تطبیق دهید


فقط به من بگویید کجا قصد انتشار آن را دارید.


ارسال استعلام


icon
X
ما از کوکی ها استفاده می کنیم تا تجربه مرور بهتری به شما ارائه دهیم، ترافیک سایت را تجزیه و تحلیل کنیم و محتوا را شخصی سازی کنیم. با استفاده از این سایت، شما با استفاده ما از کوکی ها موافقت می کنید. سیاست حفظ حریم خصوصی
رد کردن قبول کنید